• The industry’s First Choice for multi-story heating and cooling.

  • Leading the way in the HVAC industry.

  • A long-term commitment to serving our customers.

  • 1
  • 2
  • 3

Whalen Presentations - October 2024

pdf icon Complete Sales Training

 

Icon powerpoint Whalen Company Overview

Icon powerpoint General Sales Information

Icon powerpoint Whalen Riser Design

Icon powerpoint R-410A to R-454B Refrigerant Transition

Icon powerpoint Integrated Sales Center™ (ISC) Overview

 

Icon powerpoint Aftermarket Parts

 

Product Presentations - October 2024

Icon powerpoint Closetline® Horizontal & Vertical Heat Pump

Icon powerpoint Horizontal & Vertical Fan Coil Products

Icon powerpoint Inteli-line® Vertical Stack Fan Coil

Icon powerpoint Inteli-thermVertical Stack Fan Coil

Icon powerpoint Innoline® Riser Fan Coil

Icon powerpoint Innoline® 5050 Riser Fan Coil

Icon powerpoint Whisperline® Heat Pump

Icon powerpoint Whispertherm® Integrated ERV Heat Pump

 

 

Whalen Lead Times - December 2025

 

Whalen leadtime thumb3    Whalen exchange thumb4     Whalen AM Leadtime thumb3

 Lead Times  

 

   Canadian Exchange & Freight Guidelines

 

 Aftermarket Products Lead Times

 

 

 

 

 

 

Whalen Lead Times - Archive

 


 Whalen leadtime thumb3
 
 Whalen exchange thumb4
   Whalen AM Leadtime thumb3

Lead Times Archive 

 

   Canadian Exchange & Freight Guidelines Archive

 

 Aftermarket Products Lead Times Archive

                                                                              

    

 

Whalen Policies

 

Policy Customer Supplied Parts Policy Thumbnail                                       Policy Order Change Policy Thumbnail1                                        Policy Special Paint Color Policy Thumbnail1

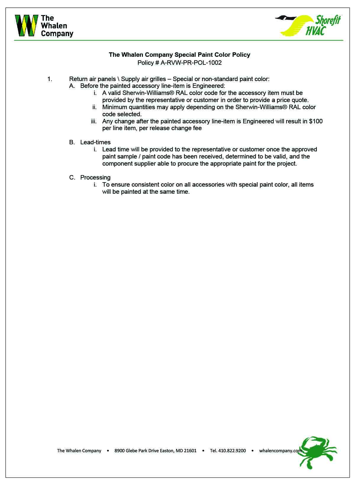
Customer Supplied Parts Policy                                       Order Change Policy                                                     Special Paint Color Policy

 

 

 

 

 

Whalen Products

Product Line

We manufacture solutions for new and replacement heating and cooling applications.

small arrow Learn More

Applications

Market Applications

We engineer and manufacture vertical stack fan coil units and water source heat pumps for a wide range of applications.

small arrow Learn More

News

Latest News

Visit our newsroom for the latest information about what's happening at the Whalen Company.

small arrow Learn More